麻豆av

研究进展

    研究进展

    当前您的位置: 麻豆av > 研究进展 > 正文

    2024年学术进展系列之68:麻豆AV 硕士研究生区杨董俊与导师在伽马暴的中微子辐射方面研究获得进展

    日期: 2024-10-29 浏览次数:

    近日,麻豆AV 硕士区杨董俊和导师吕候军教授合作在伽马暴的中微子辐射研究方面取得进展,研究成果Neutrino constraints and detection prospects from gamma-ray bursts with different jet composition为题被《天体物理学杂志》(The Astrophysical Journal)期刊接受发表。

    伽马射线暴(GRBs)简称伽马暴,是宇宙学距离上最明亮的事件,长久以来被认为是超高能宇宙线(UHECRs)加速器的候选体和潜在的高能中微子辐射源。经过了超过半个世纪的研究,伽马暴的瞬时辐射机制仍存在争议,不同成分喷流的暴可能有着不同模型的起源,这将导致其中微子辐射有着很大的不同尽管 IceCube 在多年间对与伽马暴成协的中微子进行了细致的搜索,结果仍显示没有找到来自伽马暴的中微子事件。最近发现的 GRB 211211A GRB 230307A 是致密双星并合起源的长暴,它们的喷流成分被认为是截然不同,在费米卫星工作的早期所探测到的GRB 080916CGRB 090902B也被认为有着截然不同的喷流成分,这表示它们所适用的伽马暴的模型也可能不同。我们利用 IceCube 没有观测到来自伽马暴的中微子的结果去限制上述四个伽马暴的模型参数,并探讨了限制结果是否会对伽马暴是超高能宇宙线的一个主要来源的假设构成挑战。除此之外,未来的一些中微子探测器将有着比现有中微子探测器更强的灵敏度,我们以目前的 IceCube 和未来的 IceCube-Gen2 作为例子,探讨伽马暴的中微子的探测前景。

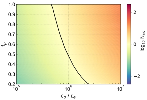
    研究结果表明只有 GRB 211211A可以在光球模型下被很好的限制,在光球模型下GRB 211211A不满足伽马暴是超高能宇宙线的一个主要来源的假设的条件。对于ICMART模型起源的GRB 080916CGRB 230307A,均不能取得有效限制。对于光球模型起源的伽马暴,在使用IceCube-Gen2的情况下,是可以探测到中微子的,而对于ICMART模型起源的伽马暴,即使是在使用IceCube-Gen2的情况下也很难探测到中微子。

     

    1. 在光球模型下对GRB 211211A的模型参数的限制结果

    2. ICMART模型下对GRB 230307A的模型参数的限制结果

    3. 对于类似GRB 211211A的伽马暴的预期中微子事件数和距离的关系

    4. 对于类似GRB 230307A的伽马暴的预期中微子事件数和距离的关系

     

    论文作者:区杨董俊(硕士生),吕候军(唯一通讯),常学钊(博士生),刘小璇(硕士生),梁恩维

    论文arXiv链接://arxiv.org/pdf/2410.09438


    联系地址:广西区南宁市大学东路100号

    联系电话:0771-3237386

    邮 编 :530004

    关注我们

    版权所有:麻豆AV|麻豆AV官方资源与最新资讯